
1. 背景意义
纤维增强塑料(FRPs)因高比强度、耐腐蚀性等优势,广泛应用于航空航天、汽车、建筑等领域。但这类材料力学性能呈各向异性,缺陷易引发微裂纹扩展致灾难性失效。传统结构健康监测(SHM)技术流程复杂,且破坏材料力学性能,难以实现高效原位实时监测。因此,开发无损伤、高可靠性的自诊断复合材料,对优化结构安全系数、降低制造成本、保障工程结构安全具有重要意义,成为行业亟待解决的关键问题。
2. 内容简介
选用玻纤机织物为增强体,环氧树脂与固化剂为基体,3K Ni-CF丝束为传感元件。通过真空辅助树脂灌注工艺(VARI)制备Ni-CF/GFRP 复合材料,将Ni-CF 丝束嵌入五层玻纤织物中,如图1所示,依据嵌入位置设计四种样品,将样品切割为标准拉伸(250×25×2.25mm)和弯曲(86.4×13×2.25mm)试样。

图1 Ni-Cf/GFRP制备示意图
采用微滴测试评估 Ni-CF/EP 与GF/EP 的界面剪切强度(IFSS),通过场发射扫描电镜(SEM)观察纤维脱粘后的表面形貌;利用万能试验机分别进行单调拉伸、循环拉伸和弯曲试验,测试复合材料的拉伸强度、模量、弯曲强度等关键力学参数,验证Ni-CF 嵌入对GFRP力学性能的影响。

图2 机电试验示意图:(a)连接电极的试件 (b)测试系统的配置
Ni-CF 与环氧树脂的界面剪切强度为31.06 MPa,远高于玻纤与环氧树脂的19.56 MPa。如图3所示,SEM 观察发现,Ni-CF 脱粘后表面残留大量树脂,而玻纤表面树脂残留较少,Ni-CF 与基体具有更优的界面相容性,这得益于其表面浸润剂与粗糙结构。

图3 脱粘表面的表面形貌:(a)GF (b)Ni-Cf
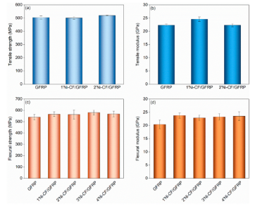
如图4所示,力学性能测试表明,嵌入Ni-CF 丝束未降低 GFRP 的拉伸强度、拉伸模量、弯曲强度及弯曲模量,两种核心样品(1′、2′Ni-CF/GFRP)与纯 GFRP 的力学性能无显著差异,说明 Ni-CF 不会成为材料薄弱相,也未引发应力集中。

图4 GFEP和Ni-CF/GFRP复合材料的力学性能:(a)拉伸强度 (b)拉伸弹性系数 (c)弯曲强度 (d)弯曲弹性模量
机电响应实验中,单调拉伸下Ni-CF/GFRP的电阻变化分为两阶段:弹性变形阶段电阻变化平缓,超过转折点后电阻急剧增大。1′Ni-CF/GFRP 的两阶段变灵敏系数分别为707.99 和 2274.89,2′Ni-CF/GFRP 则为 326.37 和 1051.31,前者预警灵敏度更高。循环拉伸试验中,电阻变化与应力变化同步增减,峰值与谷值一致,仅存在轻微波动,验证了传感稳定性。

图5 量规系数(GF)值的演变:(a)1‘Ni-Cf/GFRP (b)2’Ni-Cf/GFRP
3. 主要结论
1.界面性能方面,Ni-CF 表面浸润剂与粗糙结构提升了与环氧树脂的相容性,其界面剪切强度达31.06 MPa,显著高于玻纤与基体的19.56 MPa,且嵌入Ni-CF 不会损害GFRP 的拉伸、弯曲等力学性能。
2.传感性能上,单调拉伸时 Ni-CF/GFRP 的电阻变化呈现两阶段特征:弹性变形阶段电阻平缓,超过转折点后电阻急剧增大,循环加载试验证实其电阻变化与应力变化高度同步,传感稳定性可靠。
3.安全性能方面,1′Ni-CF/GFRP 与 2′Ni-CF/GFRP 的安全系数分别为1.34 和1.50。嵌入位置影响自诊断效果,1′型在预警阶段灵敏度更高,适用于低失效风险结构;2′型安全系数更高,适配高安全要求场景。
原文文献:Yue Zhao, Chun Yan, Haibing Xu, Guangbin Cai, Hongli Jia, Gang Chen, Ali Imran, Yingdan Zhu,In-situ structural health self-monitoring and diagnosing of glass fiber reinforced plastics with embedded nickel coated carbon fiber,Composites Part B: Engineering






